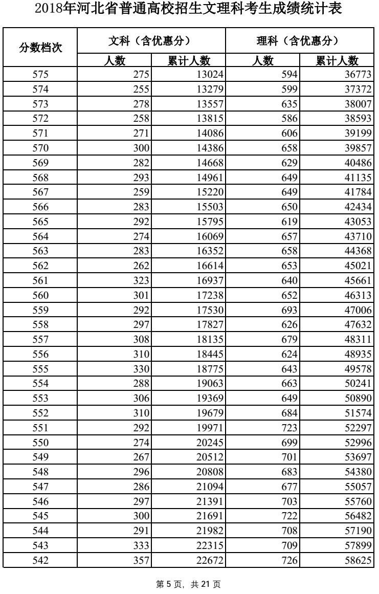
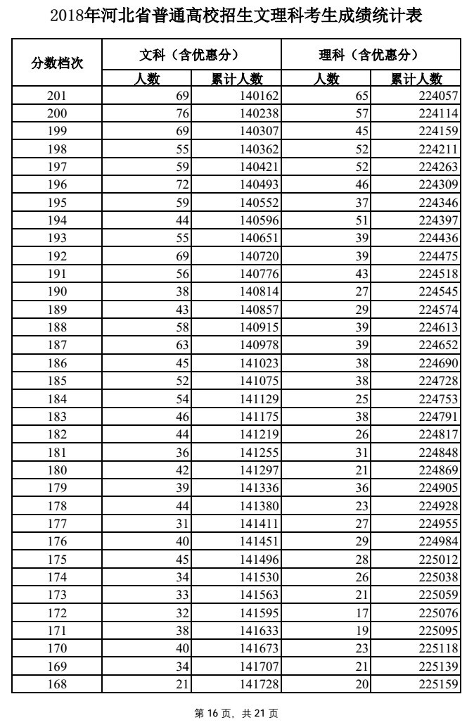
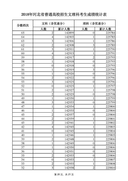
快看!2018年河北省高考一分一档统计表出炉!
最新!2018年河北省普通高校招生文理科考生一分一档统计表公布啦!请往下看!
河北考生和家长可登录河北省教育考试院网站(网址:www.hebeea.edu.cn)查询全部的一分一档统计表!
2018年河北省普通高校招生
文理科一分一档统计表
(点击看大图)





















(更多详细统计请查看省教育考试院网站)
(来源:燕赵赵都市报冀东版)
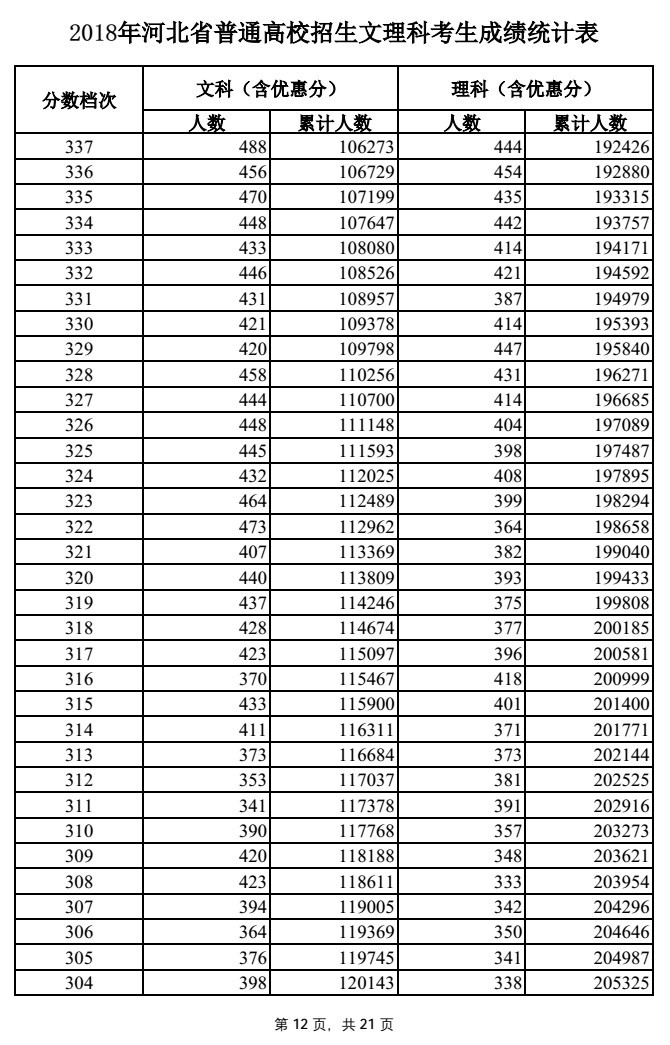
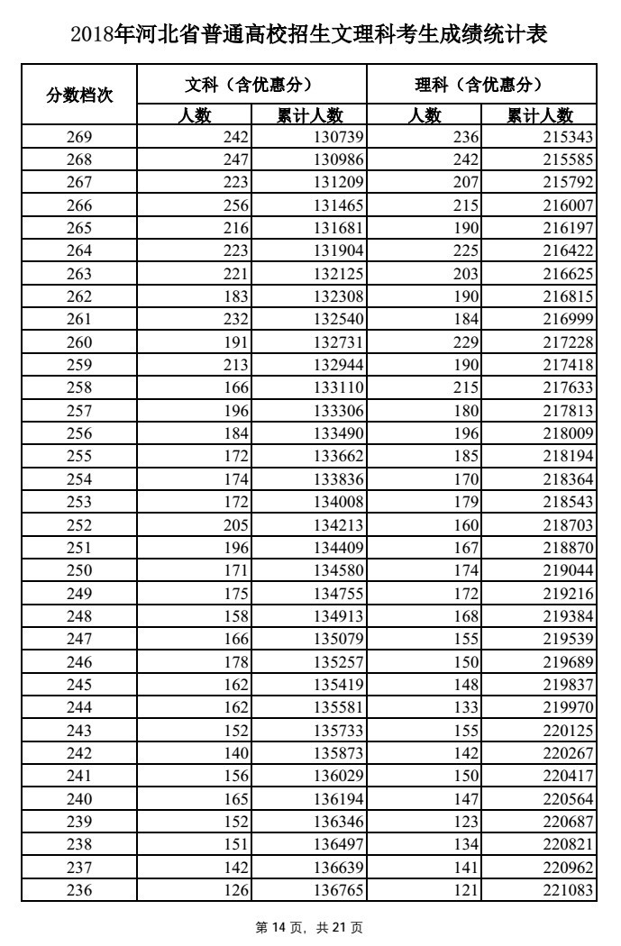
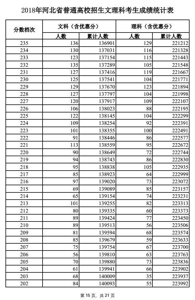
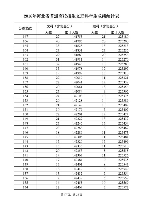
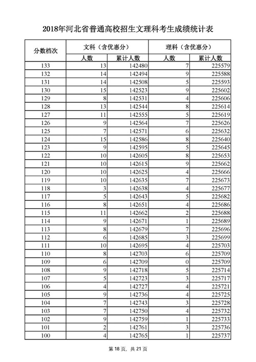
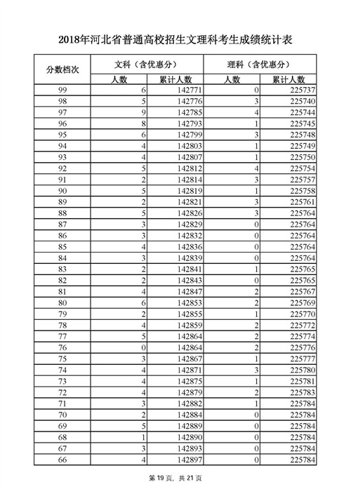
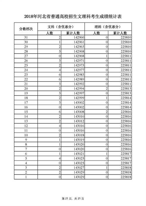
快看!2018年河北省高考一分一档统计表出炉!
最新!2018年河北省普通高校招生文理科考生一分一档统计表公布啦!请往下看!
河北考生和家长可登录河北省教育考试院网站(网址:www.hebeea.edu.cn)查询全部的一分一档统计表!
2018年河北省普通高校招生
文理科一分一档统计表
(点击看大图)





















(更多详细统计请查看省教育考试院网站)
(来源:燕赵赵都市报冀东版)
江苏高考逐分段统计表公布! 刚刚 江苏省教育考试院公布 江苏省2023年普通高考逐分段统计表 根据统计表显示,普通类(历史等科目类)650分及以上的有163人,630分及以上有899人,6...
黄暴重口影片的代表,影史100部最伟大恐怖片之一 IndieWire 曾评选出影史100部最伟大的恐怖片,而其中一部名为《日烦夜烦》的电影跻身其中,位列第93位。然而,若在榜单上加上两个词...
和女生聊天,哪些话题百试不爽?看网友的热议:共鸣万千 开始阅读前,点点“ 关注 ”,我会持续为大家带来有趣奇葩的故事。墨在此表示感谢! 和女生聊天,哪些话题百试不爽?...
汉朝其实存在了800年 在中国历史长河中,汉朝是一个让人无法忽视的伟大王朝。建立于公元前202年的汉朝,并不仅仅存在了短短420年,而是辉煌存在了长达800年之久!汉朝之所以能够延...
还记得《爱情公寓》里的千金小姐林宛瑜吗?退圈后的生活很惬意 赵霁,在《爱情公寓》里饰演天真带着点傻气的千金小姐林宛瑜,天马行空时常不按常理出牌,她和展博的感情线也曾...
二战时希特勒为什么要疯狂屠杀犹太人? 我们一提到二战,就觉得希特是个疯子屠杀了600万犹太人,觉得他要负主要责任。但是谁去问过原因?历史需要考究的,有一句话说的好,可怜...
俄罗斯总统普京 普京是俄罗斯现任总统,也是前任总统和前任总理。他于1952年出生在圣彼得堡,家庭成员中爷爷参加了第二次世界大战,曾获得勋章。他的母亲是一名工厂工人,父亲...
巴西里约狂欢节拉开帷幕 当日,2024年里约狂欢节正式拉开帷幕。里约狂欢节是巴西全国规模最大、国际知名度最高的狂欢节。节日期间,除了桑巴大道上的表演外,里约全城还将举行...
三十岁女人之非彼三十 谈论三十岁的女性,我们常常将其视作一个充满成熟、坚韧和自信的时期。不过,每个三十岁的女性都拥有独特的故事,这个年龄段的女性多才多艺,充满活力和...
全国不同地区彩礼价格对比 以下是全国部分地区的彩礼价格对比: 高彩礼地区 - 江西:彩礼费用早已超过二十万,甚至接近三十八万,还推出了“彩礼贷”服务 。 - 上海:作为经济发...
女子称让市民喝我的洗脚水,龌龊心态令人发指 铜川的桃曲坡水库,是一座以灌溉为主兼有城市供水、防洪等作用的水库。最近一网友在该水库洗脚,并配发洗脚照发了一条微博配文称...
母亲节的到来,其由来的原因和意义 母亲节的到来,虽然是一个很温馨的节日,但是我们确实应该关注一下它的历史和来龙去脉。 母亲节最早起源于古希腊,人们在这一天向众神祭拜...
墨宝非宝作品大合集,你更喜欢哪一本? 《轻易放火》by:墨宝非宝《轻易靠近》by:墨宝非宝《永安调》by:墨宝非宝《至此终年》by:墨宝非宝《一厘米的阳光》by:墨宝非宝《归路》by:墨宝...
没背景没人脉,退役后做这3个工作,照样月薪过万! 如果说在部队你的工资有6500左右,而你想退伍马上找到工作,马上拿到6500的工资是很难的,很多退役士兵不是大学生,没有行业经...
萝卜丸子最正宗的做法,一滴水都不加,学会这方法酥脆不油腻 哈喽大家好我是老左,今天给大家分享一个萝卜丸子非常简单好吃的做法,不需要加入一滴水,外酥里嫩不油腻好吃到停...
凉拌茄子的家常做法!鲜香入味,爽口开胃,做法简单 小时候老家一到夏天什么蔬菜都有,茄子、辣椒、苦瓜、秋葵、黄瓜、香瓜、豇豆、四季豆、刀豆、丝瓜、空心菜、番茄、黄花菜...
菅纫姿:她的美貌让人喜欢,演技,颜值全都占 每一个努力都值得被看见,从小性格内向的菅纫姿,却成为一个好演员,演技让人夸赞。...
跟我学中医 | 足太阳膀胱经循行路线及图解 ▶本文为《跟我学中医》专栏第118期内容,感谢您的支持与分享!每天学一点,健康生活常相伴! 循行路线: 起于目内眦(内眼角,即睛明穴...
餐桌礼仪探秘:这十条你不可不知 在如今这个‘躺平无罪,摆烂有理’,人人都追求‘主打一个随意’的时代,很多人觉得吃饭嘛,怎么舒服怎么来,哪有那么多讲究?但宝子们,事实...
5本古言重生文!重生嫁给渣前夫他权臣五叔《首辅宠妻录(重生)》 求关注,求转发,求点赞,求评论!大家好,我是小甜甜,每天给大家推荐好文。 这期给大家推荐的是古言双重生文...